Search
Study: Diet Quality and Caloric Accuracy in AI-Generated Diet Plans: A Comparative Study Across Chatbots. Image Credit: N Universe / Shutterstock

האם צ'אטבוטים של AI יכולים לשלוט במדע האיזון התזונתי?

צ'אטבוטים מונעי בינה מלאכותית, כולל ChatGPT 4.0, Gemini ו-Microsoft Copilot, הוערכו על יכולתם ליצור תוכניות ארוחות להרזיה. בעוד שכל הצ'אטבוטים הראו הבטחה, אתגרים בהשגת איזון מקרו-נוטריינטים ודיוק קלורי הדגישו את המגבלות באלגוריתמים הנוכחיים.

מחקר: איכות תזונה ודיוק קלורי בתכניות דיאטה שנוצרו בינה מלאכותית: מחקר השוואתי בין צ'אטבוטים. קרדיט תמונה: N Universe / Shutterstock

מחקר נערך באוניברסיטת Amasya, טורקיה, ואוניברסיטת Pécs, הונגריה, כדי להשוות את היעילות של צ'אטבוטים שונים מונעי בינה מלאכותית (AI) בעיצוב תוכניות תזונה מותאמות אישית.
המחקר פורסם בכתב העת חומרים מזינים.

רֶקַע

הפופולריות של יישומים מונעי בינה מלאכותית במגזרים רפואיים, תזונתיים וחינוכיים עולה באופן ניכר ברחבי העולם. בתחום התזונה והדיאטה, צ'אטבוטים מונעי בינה מלאכותית צוברים פופולריות ככלים פוטנציאליים לעיצוב תוכניות תזונה מותאמות אישית.

צ'אטבוטים של AI הם מערכות מתקדמות המשתמשות בטכניקות בינה מלאכותית כמו עיבוד שפה טבעית ולמידת מכונה כדי לדמות אינטראקציות דמויות אדם. הם מספקים פלטפורמות תקשורת דינמיות ומותאמות אישית ליצירת תגובות ספציפיות להקשר.

בהתחשב בנוחות ובפוטנציאל שלהם לספק תמיכה מותאמת אישית, אנשים מסתמכים יותר ויותר על צ'אטבוטים של AI להדרכה תזונתית. עם זאת, הפיתוח והיישום של תכניות דיאטה מותאמות אישית שנוצרו באמצעות צ'טבוט בינה מלאכותית בסביבה אמיתית ללא סיוע אנושי עוררו חששות, והצריכו הערכה מעמיקה של איכות תוכניות הדיאטה.

במחקר זה, מדענים העריכו את היכולות של צ'אטבוטים שונים בינה מלאכותית בתכנון תוכניות דיאטה להרזיה על פני רמות קלוריות ומגדרים משתנים.

לימודי עיצוב

המחקר ניתח והשווה את איכות התזונה של תכניות ארוחות להרזיה שתוכננו על ידי שלושה צ'אטבוטים של AI: Gemini, Microsoft Copilot ו-ChatGPT 4.0.

כל צ'טבוט שימש לעיצוב תוכניות תזונה ייחודיות, המותאמות אישית לפרופילים של גברים ונשים, בטווח קלוריות של 1400-1800 קילו-קלוריות (קק"ל) ליום.

מסגרת מתודולוגית להערכת תכניות דיאטה שנוצרו בצ'טבוט.מסגרת מתודולוגית להערכת תכניות דיאטה שנוצרו בצ'טבוט.

מדד איכות הדיאטה הבינלאומי (DQI-I) שימש לניתוח שיטתי של מימדים שונים של תכניות דיאטה שנוצרו באמצעות צ'אטבוטים, כולל מגוון, התאמה, מתינות ואיזון.

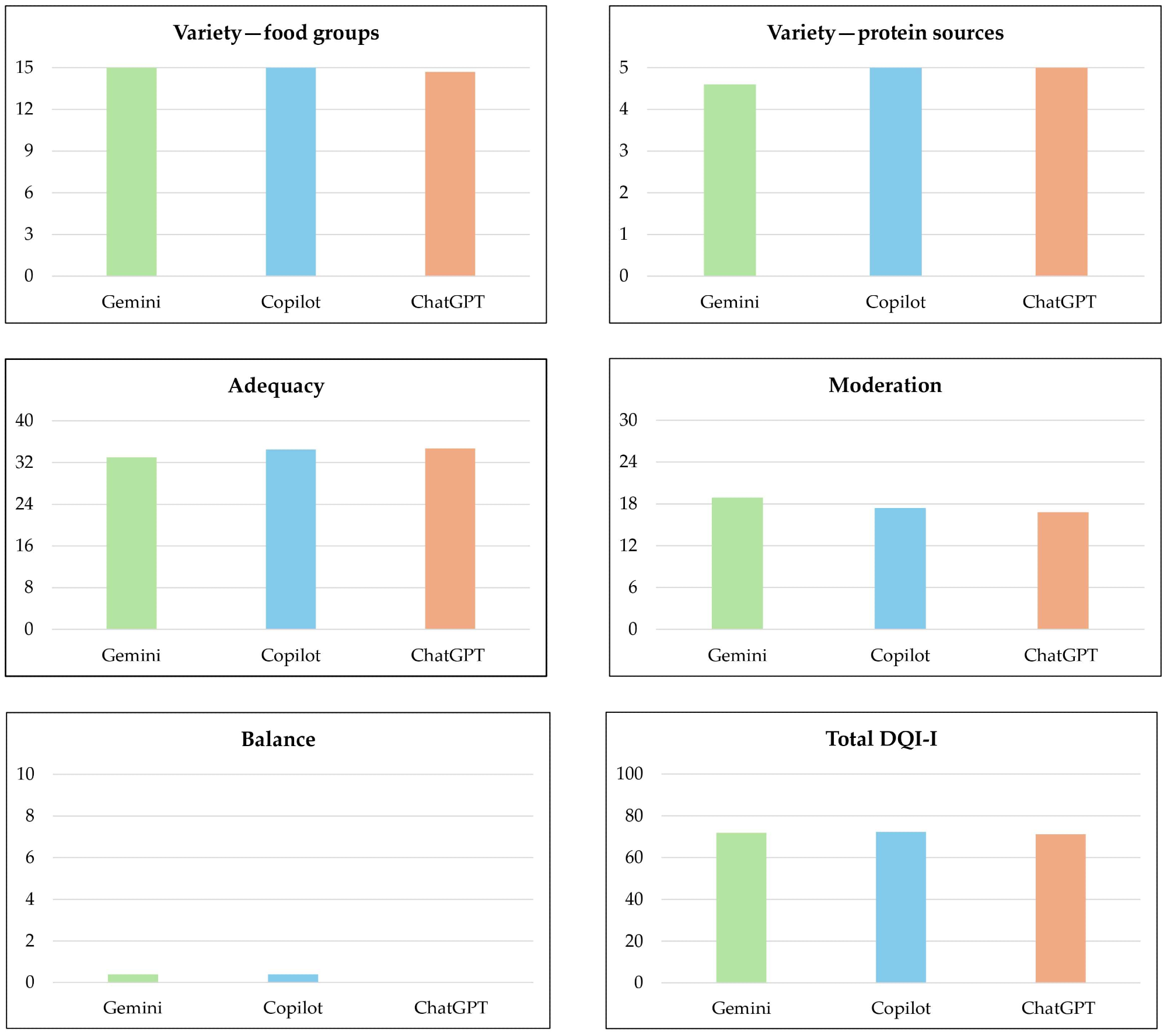
DQI-I הוא כלי להערכת איכות תזונתית בשימוש נרחב לקביעה האם דיאטה תואמת את ההנחיות שנקבעו ותומכת בבריאות הכללית. המחקר דיווח כי סך ציוני ה-DQI-I היו גבוהים בכל הצ'אטבוטים, כאשר ChatGPT 4.0 ניקוד 71.20 ± 5.2, Microsoft Copilot 72.30 ± 4.1 ו-Gemini 71.90 ± 4.1.

ניתוח סטטיסטי לא הראה הבדלים משמעותיים בציוני DQI-I בין שלושת הצ'אטבוטים (p>0.05).

הדיוק הקלורי נקבע על ידי חישוב אחוז סטיות מהיעדים המבוקשים וסיווג אי התאמה לטווחים מוגדרים.

תרשימי עמודות של ממוצע ציוני DQI-I וציוני משנה עבור Gemini, Microsoft Copilot ו-ChatGPT 4.0.תרשימי עמודות של ממוצע ציוני DQI-I וציוני משנה עבור Gemini, Microsoft Copilot ו-ChatGPT 4.0.

תצפיות חשובות

המחקר מצא ציון כולל DQI-I גבוה עבור כל הצ'אטבוטים של AI שנבדקו, המעיד על כך שהאיכות הכללית של התזונה של תוכניות הארוחות משביעת רצון.

מבין ממדי איכות הדיאטה השונים, הציון הגבוה ביותר עבור מגוון קבוצות מזון הושג על ידי תוכניות ארוחות שעוצבו על ידי Gemini ו-Microsoft Copilot. עבור מגוון מקור חלבון, הציון הגבוה ביותר הושג על ידי תוכניות ארוחות שתוכננו באמצעות Microsoft Copilot ו-ChatGPT 4.0.

יש לציין כי נצפו הבדלים על בסיס מגדר, עם ציונים גבוהים יותר של מגוון קבוצות מזון ומגוון מקור חלבון בתזונה לנקבות בהשוואה לגברים (p <0.05).

לגבי האיזון של תכניות הארוחות, המתייחס ליחס מאקרו-נוטריינט וחומצות שומן, כל הצ'אטבוטים של AI שנבדקו הציגו באופן עקבי את הציונים הנמוכים ביותר. זה מצביע על מגבלה קריטית באלגוריתמים של AI.

החוקרים ייחסו מגבלה זו לאתגרים בהקצאת קלוריות מוגבלות בין מאקרו-נוטריינטים בדיאטות הרזיה, הדורשות איזון פחמימות, חלבונים ושומנים.

הדיוק הגבוה ביותר בעמידה ביעדים הקלוריים המבוקשים נצפה עבור ChatGPT 4.0. תכניות הארוחות שעוצבו על ידי ChatGPT 4.0 לא חרגו ביותר מ-20% מרמת הקלוריות המבוקשת.

לעומת זאת, 50% מתכניות הארוחות שנוצרו על ידי תאומים חרגו ביותר מ-20% מיעד הקלוריות המבוקש, והדגישו מגבלה משמעותית בעמידה הקלורית שלה.

משמעות המחקר

המחקר מגלה כי צ'אטבוטים המונעים על ידי בינה מלאכותית יעילים מאוד בעיצוב תכניות תזונה נאותות מבחינה תזונתית ומגוונת לירידה במשקל. ChatGPT 4.0 מציג את הדיוק הגבוה ביותר בעמידה בקלוריות מבין שלושת הצ'אטבוטים של AI שנותחו במחקר.

המחקר זיהה מגבלה קריטית באלגוריתמים של בינה מלאכותית, הדורשת הערכה ועידון נוספים. באופן ספציפי, המחקר מגלה שצ'אטבוטים המונעים על ידי בינה מלאכותית הם פחות יעילים באופן משמעותי בתכנון הפצה אופטימלית של מאקרו-נוטריינט וחומצות שומן בתכניות ארוחות לירידה במשקל.

מגבלה זו עשויה להיות מיוחסת לקושי הבסיסי של תכנות אלגוריתמים לטיפול באינטראקציות המורכבות בין מאקרו-נוטריינטים לבין הצרכים התזונתיים הייחודיים של אנשים.

במחקר זה, נעשה שימוש בצ'טבוטים של AI לעיצוב תוכניות ארוחות דלות קלוריות. תוכניות אלה דורשות הקצאה זהירה של אנרגיה מוגבלת על פני כל המאקרו-נוטריינטים (פחמימות, חלבונים ושומנים) תוך שמירה על הלימות תזונתית כוללת. זו עשויה להיות הסיבה לכישלון בהשגת הפצה אופטימלית של מאקרו-נוטריינטים.

הניתוח המבוסס על המין שנערך במחקר מגלה הבדלים במגוון קבוצות המזון ובציוני מגוון מקור החלבון בין תכניות ארוחות המיועדות לזכרים ולנקבות. תצפית זו מצביעה על הטיה או שונות פוטנציאלית בהתאמת דיאטות למשתמשים גברים לעומת נשים.

הבדלים מבוססי מגדר אלה עשויים לשקף הטיות בנתוני האימון או הנחות תרבותיות המוטמעות באלגוריתמים של הצ'אטבוט.

חלוקה מיטבית של חומצות שומן (חומצות שומן רב בלתי רוויות, חד בלתי רוויות ורוויות) חיונית לשמירה על איזון אנרגיה, שלמות קרום התא ובריאות הלב וכלי הדם. דיאטות עשירות בשומנים רוויים, שומני טראנס, פחמימות מזוקקות ודלות בחלבון וחומצות שומן רב בלתי רוויות ידועות כגורמות למצוקות בריאותיות חמורות.

בהתחשב בתפקיד הקריטי של מאקרו-נוטריינטים ופרופילי חומצות שומן מאוזנים היטב בתכנון התזונה, מדענים מייעצים שתזונאים ישתמשו בתכניות דיאטה שנוצרו על ידי AI-chatbot לאחר הערכה נכונה של תזונאי כדי להימנע מבעיות בריאות הקשורות לתזונה.

במילים אחרות, יש להשתמש בצ'אטבוטים של AI כדי לשפר ולא להחליף את המומחיות של אנשי מקצוע בתחום הדיאטה.

דילוג לתוכן